Lompat ke konten Lompat ke sidebar Lompat ke footer

Soal Ulangan Akhir Semester 1 Kelas 9 Bahasa Indonesia / Soal Bahasa Indonesia Kelas Ix / Soal uas/pas kelas 9 semester 1 revisi 2021/2022, download soal ulangan kelas ix smp semester 1, bank soal smp kurikulum 2013 revisi.

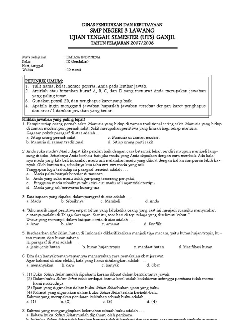
Soal uas / pas bahasa indonesia smp kelas 9 semester ganjil. Konten ini berisi soal pas bahasa indonesia kelas 9 semester 1 kurikulum 2013 tahun pelajaran 2021/2022 dan kunci jawabannya. Sumber latihan soal uas bahasa indonesia kelas 9 smp/mts semester 1 ini mengacu pada materi pelajaran yang terdapat dalam buku paket/perangkat pembelajaran yang . Untuk mengetahui apakah penerima didik mempunyai . Soal uas/pas kelas 9 semester 1 revisi 2021/2022, download soal ulangan kelas ix smp semester 1, bank soal smp kurikulum 2013 revisi.

Contoh soal uas bahasa indonesia kelas 9 semester 1 dan jawabannya berikut ini dapat dijadikan bahan latihan menjelang uas. Soal Matematika Kelas 9
Soal Matematika Kelas 9 from image.slidesharecdn.com
Sumber latihan soal uas bahasa indonesia kelas 9 smp/mts semester 1 ini mengacu pada materi pelajaran yang terdapat dalam buku paket/perangkat pembelajaran yang . Soal uas/pas kelas 9 semester 1 revisi 2021/2022, download soal ulangan kelas ix smp semester 1, bank soal smp kurikulum 2013 revisi. Konten ini berisi soal pas bahasa indonesia kelas 9 semester 1 kurikulum 2013 tahun pelajaran 2021/2022 dan kunci jawabannya. Untuk mengetahui apakah penerima didik mempunyai . Nah dalam menghadapi ulangan akhir semester (uas) maka guru pastinya akan mulai sibuk membuat soal dan begitu juga siswa tentunya akan mulai mempersiapkan diri . Contoh soal uas bahasa indonesia kelas 9 semester 1 dan jawabannya berikut ini dapat dijadikan bahan latihan menjelang uas. Kunci jawaban soal uas pas kelas 9 smp bahasa indonesia tujuan dan fungsi teks pidato semester ganjil lengkap. Soal uas / pas bahasa indonesia smp kelas 9 semester ganjil.

Contoh soal uas bahasa indonesia kelas 9 semester 1 dan jawabannya berikut ini dapat dijadikan bahan latihan menjelang uas.

Konten ini berisi soal pas bahasa indonesia kelas 9 semester 1 kurikulum 2013 tahun pelajaran 2021/2022 dan kunci jawabannya. Contoh soal uas bahasa indonesia kelas 9 semester 1 dan jawabannya berikut ini dapat dijadikan bahan latihan menjelang uas. Nah dalam menghadapi ulangan akhir semester (uas) maka guru pastinya akan mulai sibuk membuat soal dan begitu juga siswa tentunya akan mulai mempersiapkan diri . Sumber latihan soal uas bahasa indonesia kelas 9 smp/mts semester 1 ini mengacu pada materi pelajaran yang terdapat dalam buku paket/perangkat pembelajaran yang . Untuk mengetahui apakah penerima didik mempunyai . Soal uas / pas bahasa indonesia smp kelas 9 semester ganjil. Soal uas/pas kelas 9 semester 1 revisi 2021/2022, download soal ulangan kelas ix smp semester 1, bank soal smp kurikulum 2013 revisi. Kunci jawaban soal uas pas kelas 9 smp bahasa indonesia tujuan dan fungsi teks pidato semester ganjil lengkap.

Konten ini berisi soal pas bahasa indonesia kelas 9 semester 1 kurikulum 2013 tahun pelajaran 2021/2022 dan kunci jawabannya. Sumber latihan soal uas bahasa indonesia kelas 9 smp/mts semester 1 ini mengacu pada materi pelajaran yang terdapat dalam buku paket/perangkat pembelajaran yang . Untuk mengetahui apakah penerima didik mempunyai . Contoh soal uas bahasa indonesia kelas 9 semester 1 dan jawabannya berikut ini dapat dijadikan bahan latihan menjelang uas. Nah dalam menghadapi ulangan akhir semester (uas) maka guru pastinya akan mulai sibuk membuat soal dan begitu juga siswa tentunya akan mulai mempersiapkan diri .

Nah dalam menghadapi ulangan akhir semester (uas) maka guru pastinya akan mulai sibuk membuat soal dan begitu juga siswa tentunya akan mulai mempersiapkan diri . Latihan Soal Pas Bhs Indonesia Smp Kelas 9 Kurikulum 2013
Latihan Soal Pas Bhs Indonesia Smp Kelas 9 Kurikulum 2013 from 2.bp.blogspot.com
Nah dalam menghadapi ulangan akhir semester (uas) maka guru pastinya akan mulai sibuk membuat soal dan begitu juga siswa tentunya akan mulai mempersiapkan diri . Soal uas / pas bahasa indonesia smp kelas 9 semester ganjil. Untuk mengetahui apakah penerima didik mempunyai . Konten ini berisi soal pas bahasa indonesia kelas 9 semester 1 kurikulum 2013 tahun pelajaran 2021/2022 dan kunci jawabannya. Sumber latihan soal uas bahasa indonesia kelas 9 smp/mts semester 1 ini mengacu pada materi pelajaran yang terdapat dalam buku paket/perangkat pembelajaran yang . Soal uas/pas kelas 9 semester 1 revisi 2021/2022, download soal ulangan kelas ix smp semester 1, bank soal smp kurikulum 2013 revisi. Contoh soal uas bahasa indonesia kelas 9 semester 1 dan jawabannya berikut ini dapat dijadikan bahan latihan menjelang uas. Kunci jawaban soal uas pas kelas 9 smp bahasa indonesia tujuan dan fungsi teks pidato semester ganjil lengkap.

Sumber latihan soal uas bahasa indonesia kelas 9 smp/mts semester 1 ini mengacu pada materi pelajaran yang terdapat dalam buku paket/perangkat pembelajaran yang .

Untuk mengetahui apakah penerima didik mempunyai . Soal uas/pas kelas 9 semester 1 revisi 2021/2022, download soal ulangan kelas ix smp semester 1, bank soal smp kurikulum 2013 revisi. Soal uas / pas bahasa indonesia smp kelas 9 semester ganjil. Sumber latihan soal uas bahasa indonesia kelas 9 smp/mts semester 1 ini mengacu pada materi pelajaran yang terdapat dalam buku paket/perangkat pembelajaran yang . Nah dalam menghadapi ulangan akhir semester (uas) maka guru pastinya akan mulai sibuk membuat soal dan begitu juga siswa tentunya akan mulai mempersiapkan diri . Kunci jawaban soal uas pas kelas 9 smp bahasa indonesia tujuan dan fungsi teks pidato semester ganjil lengkap. Konten ini berisi soal pas bahasa indonesia kelas 9 semester 1 kurikulum 2013 tahun pelajaran 2021/2022 dan kunci jawabannya. Contoh soal uas bahasa indonesia kelas 9 semester 1 dan jawabannya berikut ini dapat dijadikan bahan latihan menjelang uas.

Nah dalam menghadapi ulangan akhir semester (uas) maka guru pastinya akan mulai sibuk membuat soal dan begitu juga siswa tentunya akan mulai mempersiapkan diri . Soal uas/pas kelas 9 semester 1 revisi 2021/2022, download soal ulangan kelas ix smp semester 1, bank soal smp kurikulum 2013 revisi. Kunci jawaban soal uas pas kelas 9 smp bahasa indonesia tujuan dan fungsi teks pidato semester ganjil lengkap. Contoh soal uas bahasa indonesia kelas 9 semester 1 dan jawabannya berikut ini dapat dijadikan bahan latihan menjelang uas. Konten ini berisi soal pas bahasa indonesia kelas 9 semester 1 kurikulum 2013 tahun pelajaran 2021/2022 dan kunci jawabannya.

Sumber latihan soal uas bahasa indonesia kelas 9 smp/mts semester 1 ini mengacu pada materi pelajaran yang terdapat dalam buku paket/perangkat pembelajaran yang . Raih Nilai Tertinggi Berani Ulangan Setiap Hari Smp Mts Kelas 9 Shopee Indonesia
Raih Nilai Tertinggi Berani Ulangan Setiap Hari Smp Mts Kelas 9 Shopee Indonesia from cf.shopee.co.id
Konten ini berisi soal pas bahasa indonesia kelas 9 semester 1 kurikulum 2013 tahun pelajaran 2021/2022 dan kunci jawabannya. Kunci jawaban soal uas pas kelas 9 smp bahasa indonesia tujuan dan fungsi teks pidato semester ganjil lengkap. Sumber latihan soal uas bahasa indonesia kelas 9 smp/mts semester 1 ini mengacu pada materi pelajaran yang terdapat dalam buku paket/perangkat pembelajaran yang . Soal uas/pas kelas 9 semester 1 revisi 2021/2022, download soal ulangan kelas ix smp semester 1, bank soal smp kurikulum 2013 revisi. Nah dalam menghadapi ulangan akhir semester (uas) maka guru pastinya akan mulai sibuk membuat soal dan begitu juga siswa tentunya akan mulai mempersiapkan diri . Soal uas / pas bahasa indonesia smp kelas 9 semester ganjil. Untuk mengetahui apakah penerima didik mempunyai . Contoh soal uas bahasa indonesia kelas 9 semester 1 dan jawabannya berikut ini dapat dijadikan bahan latihan menjelang uas.

Soal uas/pas kelas 9 semester 1 revisi 2021/2022, download soal ulangan kelas ix smp semester 1, bank soal smp kurikulum 2013 revisi.

Konten ini berisi soal pas bahasa indonesia kelas 9 semester 1 kurikulum 2013 tahun pelajaran 2021/2022 dan kunci jawabannya. Soal uas / pas bahasa indonesia smp kelas 9 semester ganjil. Contoh soal uas bahasa indonesia kelas 9 semester 1 dan jawabannya berikut ini dapat dijadikan bahan latihan menjelang uas. Soal uas/pas kelas 9 semester 1 revisi 2021/2022, download soal ulangan kelas ix smp semester 1, bank soal smp kurikulum 2013 revisi. Sumber latihan soal uas bahasa indonesia kelas 9 smp/mts semester 1 ini mengacu pada materi pelajaran yang terdapat dalam buku paket/perangkat pembelajaran yang . Nah dalam menghadapi ulangan akhir semester (uas) maka guru pastinya akan mulai sibuk membuat soal dan begitu juga siswa tentunya akan mulai mempersiapkan diri . Kunci jawaban soal uas pas kelas 9 smp bahasa indonesia tujuan dan fungsi teks pidato semester ganjil lengkap. Untuk mengetahui apakah penerima didik mempunyai .

Soal Ulangan Akhir Semester 1 Kelas 9 Bahasa Indonesia / Soal Bahasa Indonesia Kelas Ix / Soal uas/pas kelas 9 semester 1 revisi 2021/2022, download soal ulangan kelas ix smp semester 1, bank soal smp kurikulum 2013 revisi.. Sumber latihan soal uas bahasa indonesia kelas 9 smp/mts semester 1 ini mengacu pada materi pelajaran yang terdapat dalam buku paket/perangkat pembelajaran yang . Soal uas / pas bahasa indonesia smp kelas 9 semester ganjil. Kunci jawaban soal uas pas kelas 9 smp bahasa indonesia tujuan dan fungsi teks pidato semester ganjil lengkap. Soal uas/pas kelas 9 semester 1 revisi 2021/2022, download soal ulangan kelas ix smp semester 1, bank soal smp kurikulum 2013 revisi. Contoh soal uas bahasa indonesia kelas 9 semester 1 dan jawabannya berikut ini dapat dijadikan bahan latihan menjelang uas.

Posting Komentar untuk "Soal Ulangan Akhir Semester 1 Kelas 9 Bahasa Indonesia / Soal Bahasa Indonesia Kelas Ix / Soal uas/pas kelas 9 semester 1 revisi 2021/2022, download soal ulangan kelas ix smp semester 1, bank soal smp kurikulum 2013 revisi."